Se existem dois inimigos públicos da boa forma são as gorduras e os açúcares, ou pelo menos são assim percepcionados pelas pessoas preocupadas em manter a linha. Mas isto coloca-nos um problema: muito poucos estão dispostos a sacrificar o prazer dos alimentos doces. Estamos fisiologicamente adaptados a uma componente hedónica e gratificante do açúcar, preditivo da elevada densidade energética de um alimento. Se é difícil e penoso alterar os nossos hábitos, a indústria oferece uma forma de os contornar: os adoçantes artificiais sem calorias. Estas substâncias têm sido aliás promovidas como uma estratégia para controlo de peso em substituição do açúcar e, em consequência, reduzir a densidade energética dos produtos que mais gostamos. Comer por prazer, sem consequências. Mas não parece ser o caso. Existem vários estudos epidemiológicos, ensaios clínicos no Homem e em animais que sugerem um efeito adverso dos edulcorantes no controlo do apetite e regulação neuroendócrina. Vamos então explorar um pouco esses trabalhos que raramente chegam a público, na tentativa de justificar a minha posição contra o uso de adoçantes artificiais na dieta.
Ainda fresco na memória está um estudo apresentado no final de Junho nas Scientific Sessions da American Diabetes Association, em San Diego. Epidemiologistas da Universidade do Texas estudaram a relação entre os refrigerantes e as alterações no perímetro da cintura em 474 pessoas, entre os 65 e os 74 anos, que participam no SALSA (San Antonio Longitudinal Study of Aging). Os consumidores de refrigerantes dietéticos, com adoçantes, verificaram um aumento 70% superior no perímetro da cintura comparativamente a não-consumidores. Utilizadores frequentes destas bebidas, que consomem duas ou mais por dia, evidenciaram um aumento do perímetro abdominal 500% superior em relação àqueles que não consomem estes produtos.
Como é sabido, a gordura abdominal é um factor de risco metabólico muito importante e implicado na génese da diabetes, doenças cardiovasculares, cancro e outras doenças crónicas típicas da civilização moderna. Segundo os autores do estudo, “os resultados sugerem que, apesar das intenções em reduzir o consumo de bebidas açucaradas, as políticas que promovem o consumo de refrigerantes dietéticos podem acarretar efeitos deletérios que não foram acautelados”. A doutora Helen Hazuda, directora do Departamento de Epidemiologia Clínica da Universidade do Texas, acrescenta: “Os dados deste e outros estudos prospectivos sugerem que a promoção dos refrigerantes dietéticos e adoçantes artificiais como alternativas saudáveis pode ser um mau conselho. Podem ser livres de calorias, mas não de consequências”.
Na verdade, estes resultados apenas surpreendem os mais desatentos pois já antes tinham sido publicados estudos epidemiológicos que concluem no mesmo sentido. Talvez o mais mediático tenha sido a análise publicada em 2007 por Ravi Dhingra e colaboradores aos dados transversais e longitudinais do estudo de Framingham. Os investigadores relatam que existe uma relação positiva entre o consumo de refrigerantes dietéticos e a prevalência de Síndrome Metabólico. É de salientar que esta associação foi mais robusta do que para os refrigerantes regulares com açúcar. Dhingra refere trabalhos prévios que sugerem uma associação do consumo de refrigerantes adoçados artificialmente com o aumento de peso em rapazes e hipertensão nas mulheres.
Um ano mais tarde, Lutsey obtém resultados semelhantes em indivíduos envolvidos no ARIC (Atherosclerosis Risk in Communities) no follow-up de 9 anos. A força desta associação foi surpreendente para os autores que não tinham colocado essa hipótese à partida. Indivíduos no último tercil evidenciavam um risco acrescido em 34% para Síndrome Metabólico. Um outro estudo conduzido por Fowler relata que em pessoas com peso normal ou excessivo (BMI <30) no início do follow-up, o consumo de >21 bebidas adoçadas por semana (refrigerantes, café, chá, etc) estava associado ao dobro do risco de obesidade 7-8 anos depois.
Com os resultados do NHANES III (1988 – 1994), Todd Mackenzie estabeleceu uma ligação entre o consumo de refrigerantes dietéticos e um fraco controlo da glicemia em diabéticos. Adultos com a doença relataram beber 3 vezes mais destes produtos do que não-diabéticos. No entanto, em adultos com diabetes que consumiam pelo menos um refrigerante adoçado artificialmente por dia, a HbA1c era em média 0.7 unidades superior em relação a diabéticos sem hábitos de consumo.
Estes são apenas alguns dos estudos observacionais que apontam para efeitos deletérios dos edulcorantes, ou pelo menos a sua associação com comportamentos de risco. Se existe um princípio director neste blogue é que associação não significa causalidade. Quem consome mais refrigerantes pode simplesmente ter hábitos alimentares menos recomendáveis, o que aliás foi já proposto. Os indivíduos que mais consomem estes produtos parecem ter também um maior aporte global de calorias e das malvadas gorduras saturadas. É um argumento tentador em favorecimento dos edulcorantes e que é usado recorrentemente na sua defesa.
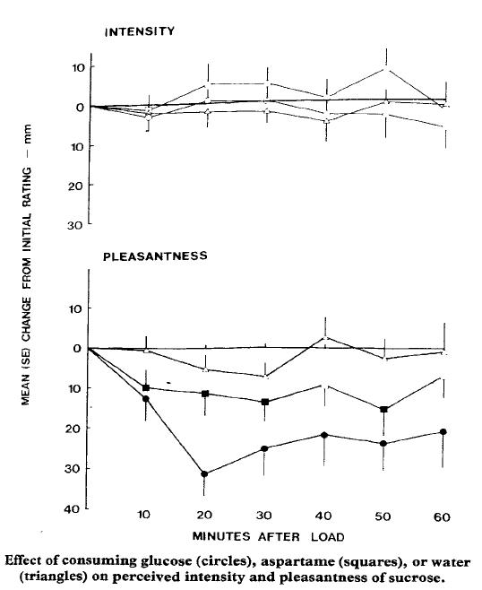
Para esclarecer estas questões inerentes à natureza epidemiológica destes estudos são necessários ensaios clínicos controlados em humanos, culturas de células e animais. E existem dos três tipos. Blundell e Hill publicaram em 1986 no Lancet um dos primeiros estudos interventivos em humanos. Os autores investigaram os efeitos do aspartame (um adoçante artificial) no controlo do apetite em 95 indivíduos entre os 18 e os 22 anos. O “prazer percepcionado” em resposta a uma dose de sacarose foi avaliado depois da ingestão de 50g de glicose em solução ou 162mg de aspartame, também em solução aquosa. A figura que se segue ilustra a redução do factor hedónico da sacarose após a dose de glicose ou aspartame:
É claríssimo que a redução da componente hedónica da refeição é superior com uma pré-carga de glicose comparativamente ao aspartame, sem diferenças na intensidade do sabor. Os autores especulam que o teor energético superior da solução de glicose (188 kcal vs 3 kcal) é o responsável por este efeito diferencial. O organismo seria sensível às calorias da pré-carga, o que condicionaria o prazer retirado da refeição de sacarose.
A equipa verificou também diferenças significativas na motivação para comer após ingestão de glicose ou aspartame. Este último evidenciou propriedades estimulantes do apetite que influenciariam o comportamento alimentar posterior.
Mais tarde, Blundell publica na Physiology & Behavior os resultados de outra experiência com 24 estudantes de psicologia. O comportamento alimentar foi avaliado 1 h após o consumo de iogurte natural ou do mesmo iogurte adoçando com glicose ou sacarina, ou suplementado com maltodextrina. A adição de maltodextrina suprimiu significativamente a motivação para comer e a quantidade ingerida ao almoço, enquanto que o “nível de doçura” aumentou o apetite. Neste sentido, a sacarina teve um efeito particularmente pronunciado, promovendo uma maior ingestão alimentar na refeição teste (almoço) e em intervalos subsequentes.
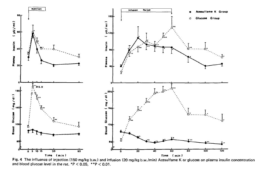
E dos humanos passamos para os ratos, o modelo experimental por excelência dada a sua versatilidade e facilidade de manipulação. Uma equipa alemã liderada por Yin Liang, da Universidade de Ulm, publica em 1987 uma série de experiências elegantes com roedores e cultura de células. Diferentes dosagens (20, 50, 100 e 150 mg/Kg) de acesulfame K (AceK) foram injectadas directamente na veia cervical de ratos Wistar para determinação da glicemia e níveis de insulina. Uma dose aguda de 150 mg/Kg de AceK provocou um aumento da insulina de 20.7 para 58.6 µU/mL após 5 min, sem alteração nos níveis de glicose. A infusão de 20 mg/Kg/min de AceK durante 60 min induziu um aumento de insulina que se manteve constante em 85-100 µU/mL. A glicemia decresceu gradualmente em 30 mg/dL.
Das mesmas experiências ficou claro um efeito dose-resposta do AceK na secreção de insulina. A uma dose de 50 mg/Kg, não foi verificado um efeito estimulante na insulina. Mas aumentando para 100 mg/Kg, os níveis de insulina aumentaram em 97.1% e ainda mais em reposta a uma dose de 150 mg/Kg.
De forma a comparar o efeito do AceK na secreção de insulina ao da glicose, também foi injectada uma dose de 150 mg/Kg de glicose. O gráfico seguinte deixa bem claro que o efeito de ambos os agentes é semelhante. Por outras palavras, doses de 150 mg/Kg de AceK ou de glicose estimulam a secreção de insulina na mesma magnitude:
![]() |
| Clique na imagem para ampliar |
Numa segunda série de experiências, a mesma equipa utiliza células pancreáticas isoladas para estudar o efeito directo do AceK na secreção de insulina. O AceK estimula a produção de insulina apenas quando as células são incubadas num meio com 15 mM de glicose. Portanto, o AceK aparenta ter um efeito directo que não depende de estímulos neuroendócrinos ou sensoriais. Mas quando as células eram incubadas sem glicose, o AceK não apresentou qualquer efeito estimulante. Isto sugere que poderá ser um potenciador mas não um iniciador do fenómeno secretório.
Uma das pessoas que mais tem contribuído para a compreensão do papel dos adoçantes artificiais na regulação energética é Susan Swithers, investigadora da Universidade de Pardue, EUA. Num estudo da sua equipa, foi dado a dois grupos de ratos acesso nocturno a 50 mL de uma bebida adoçada, juntamente com ração ad libitum (sem restrições). No grupo “consistente”, a bebida continha sacarose e no grupo “inconsistente” 0.3% de sacarina. Portanto, o sabor doce era preditivo das calorias no grupo “consistente”, mas não no grupo “inconsistente”. Após 10 dias com esta rotina, todos os animais foram sujeitos a um jejum nocturno antes de lhes ser apresentado um alimento achocolatado rico em calorias. Depois de ingerida esta pré-refeição, foi disponibilizada ração normal durante 1h. O gráfico seguinte mostra os resultados obtidos:
A ingestão da pré-refeição de chocolate foi idêntica em ambos os grupos. No entanto, o grupo “consistente” comeu consideravelmente menos ração do que o “inconsistente” durante o teste. Parece que o grupo “consistente” tem maior capacidade em antecipar as consequências calóricas da pré-refeição e assim compensar essas calorias na refeição seguinte.
Numa segunda série de experiências foi fornecido iogurte natural ou adoçado durante 14 dias (7 dias de cada), juntamente com ração normal ad libitum. O alimento estava disponível 23h por dia. Num dos grupos, o iogurte adoçado continha 20% glicose, noutro 0.3% sacarina e no último 0.3% AceK, muito à semelhança do procedimento anterior. Os grupos com sacarina e AceK apresentaram um ganho de peso cumulativo significativamente superior e não distinto entre si. Resultados em tudo semelhantes foram obtidos quando o iogurte era apenas fornecido durante 1h por dia. Verificou-se também que o grupo com 20% glicose consumia menos iogurte do que os grupos com adoçantes artificiais. O gráfico em baixo mostra os resultados destas duas experiências:
Quando 20g de iogurte natural ou adoçado eram apresentadas durante 2 semanas de treino, o grupo com sacarina ganhou significativamente mais peso em comparação com a glicose. No entanto, o acompanhamento dos animais por duas semanas após o término do contacto com iogurte revelou que a evolução do peso foi semelhante em ambos os grupos:
![]() |
| Clique na imagem para ampliar |
Os resultados de todos estes ensaios são consistentes com a hipótese de que ratos expostos a experiências alimentares em que o sabor doce não prevê o aporte calórico ganham mais peso e não conseguem compensar as calorias nas refeições subsequentes. Este efeito não parece depender do edulcorante utilizado e Swithers mostra ainda que a Stevia, um adoçante natural sem calorias, tem uma acção semelhante. Os resultados são consistentes com outros trabalhos e evidências epidemiológicas a sugerir que as experiências sensoriais não preditivas do valor calórico podem interferir com a capacidade de controlar a ingestão de alimentos e o peso, tanto no Homem como em modelos animais.
Apesar destas observações serem bem explícitas, o mecanismo que as justifica está longe de clarificado. São geralmente explicadas à luz da teoria de Pavlov dos reflexos condicionados, um dos conceitos mais enraizados na psicologia e que é transversal ao reino animal. Os modelos actuais do controlo fisiológico da regulação energética sugerem que o condicionamento Pavlovniano permite que certas pistas orosensoriais afectem não só a ingestão alimentar mas também uma variedade de respostas hormonais e metabólicas que preparam e promovem a utilização eficiente de energia. Uma implicação destes modelos é que circunstâncias que degradam a capacidade do sabor prever a densidade energética também enfraquecem a evocação destas respostas fisiológicas de “fase cefálica” que preparam para a chegada de calorias.
Uma das respostas de fase cefálica é a secreção pré-absortiva de insulina durante uma refeição. Este fenómeno é de responsabilidade nervosa e abolida por vagotomia, independente dos níveis de glicose ou aminoácidos no sangue. Esta fase de curta duração, 10-15 min, parece essencial para manter uma elevada tolerância à glicose e a administração de quantidades mínimas de insulina 15 min após a ingestão de um alimento parece melhorar bastante a intolerância em pessoas obesas. Após estimulação lingual com sacarina ou sacarose em humanos, verifica-se um aumento na insulina plasmática que corresponde ao estímulo neuroendócrino da fase cefálica. O sabor doce é um indicador de elevada densidade energética que estimula sensorialmente a secreção precoce de insulina. Quando esse sabor não prevê o aporte calórico acrescido, como no caso da sacarina, a resposta não sofre alteração e a insulinémia sobe. Convém salientar que este aumento é relativamente ligeiro, inferior ao verificado por indução glicémica.
Devemos olhar para os resultados de Liang com grande sentido crítico. O autor mostra que o AceK tem um efeito directo nas células pancreáticas como estimulante da produção da insulina quando a glicose está presente. Convém no entanto sublinhar que foram administradas i.v. doses muito elevadas de AceK que muito dificilmente se verificariam em condições normais. A absorção dos edulcorantes não é, ao que parece, particularmente elevada e, portanto, a sua concentração no sangue não deverá ter grande relevância. A componente sensorial nervosa deverá ser o factor determinante do efeito dos edulcorantes na regulação energética.
É bem sabido que a ingestão alimentar estimula um reflexo termogénico de fase cefálica em humanos e animais. Esta forma de produção de calor parece ser mediada por estímulos orosensoriais que precedem e sinalizam a absorção de nutrientes. Nos humanos, quando a comida é saboreada mas não engolida, a resposta termogénica à estimulação oral parece exceder até a produzida por uma refeição ingerida normalmente. Ao invés, quando os nutrientes são fornecidos por tubagem gástrica a resposta termogénica não se faz observar.
Um componente deste efeito térmico é o aumento da temperatura corporal numa magnitude determinada pela densidade energética do alimento. Assim sendo, se o sabor doce estimula esta resposta e prevê alimentos altamente calóricos, em animais expostos a estímulos consistentes será espectável que a temperatura corporal aumente mais do que em ratos expostos a condições em que o sabor doce é um indicador pouco fiável do teor energético. Uma implicação seria que consumir adoçantes não-nutritivos reduz a validade do sabor doce como sinal de calorias e provoca uma menor capacidade de estimular o aumento de temperatura corporal.
Swithers estudou este efeito com a implantação de transmissores de rádio-frequência na cavidade abdominal de ratos. A figura seguinte mostra a variação de temperatura corporal após a ingestão de iogurte adoçado com glicose ou sacarina:
![]() |
| Clique na imagem para ampliar |
Os resultados indicam que enquanto o consumo de iogurte com glicose produz um maior e mais prolongado aumento da temperatura corporal, o consumo de iogurte com sacarina não apresentou este efeito. Isto não surpreende tendo em conta a diferença energética entre os dois alimentos. De maior interesse são os resultados de quando os animais são treinados com um dos tipos de iogurte e depois sujeitos a uma refeição teste altamente calórica. O gráfico seguinte ilustra essa experiência:
O incremento de temperatura corporal que ocorreu no grupo com sacarina foi significativamente inferior do que para o grupo com glicose. Estes resultados sugerem que a experiência com um adoçante não-nutritivo pode perturbar os mecanismos fisiológicos envolvidos na regulação energética através da termogénese.
Um grande furor surgiu com a descoberta de receptores gustativos no intestino, nomeadamente para o sabor doce. Levantou-se a hipótese de os açúcares e edulcorantes poderem exercer também ai um efeito modelador do metabolismo, nomeadamente através dos péptidos gastrointestinais e incretinas que estimulam a libertação de insulina. De facto, este efeito foi já verificado in vitro com adoçantes, mas experiências in vivo são bem menos elucidativas. A glicose, por seu lado, é um potente activador destes receptores intestinais que parecem influenciar a secreção de incretinas.
Jing Ma e Christopher Rayner têm sido pioneiros na área e as suas experiências com animais mostram que a infusão intra-gástrica ou no duodeno de sucralose não estimula as incretinas, insulina ou atrasa o esvaziamento gástrico. Estudos semelhantes em humanos conduzidos por Steinert apontam no mesmo sentido e parece que a secreção de péptidos gastrointestinais não depende apenas da detecção do sabor doce ou analogia estrutural à glicose.
Um trabalho muito recente com roedores estudou ainda a relação entre a exposição oral ao aspartame e os níveis de insulina e glicose em jejum. Um grupo de ratos foi alimentado com óleo de milho adoçado com aspartame e outro apenas com óleo de milho. Após 3 meses com esta dieta, os ratos com aspartame evidenciaram maiores níveis de glicemia mas iguais ou menores níveis de insulina, um sinal de degeneração pancreática. A equipa refere que “estes resultados sugerem que uma exposição elevada ao aspartame pode conduzir directamente para níveis acrescidos de glicose e assim contribuir para as associações observadas entre o consumo de refrigerantes dietéticos e o risco de diabetes em humanos”.
Alguns mecanismos podem ser sugeridos para explicar este efeito. A ingestão de edulcorantes parece aumentar a quantidade de transportadores de glicose nos enterócitos, aumentando assim a sua absorção e alterando a cinética do fenómeno. Poderá então haver um efeito potenciador que contribui para a hiperglicémia. Este efeito parece depender dos receptores gustativos intestinais recentemente identificados. A impotência destes receptores em estimular a produção de insulina via incretinas parece derivar da necessidade de absorver os açúcares, o que não será requerido na modelação da quantidade e disposição espacial de transportadores SLGT1 e GLUT2.
E este efeito não é exclusivo dos adoçantes artificiais, mas também se verifica com substitutos sintéticos das gorduras alimentares como a olestra. Ratos que substituíram a gordura com olestra ingeriram mais alimento, pesaram mais no final da experiência e apresentaram um maior percentual de gordura. Resultados em tudo semelhantes aos verificados com AceK ou sacarina. Não se trata de um efeito específico ao doce, mas de um mecanismo sensorial que prevê a densidade calórica dos alimentos e prepara o organismo para uma utilização eficiente da energia.
Resumindo, existem evidências acumuladas, tanto de estudos epidemiológicos como interventivos, de que os adoçantes artificiais podem ser um lobo em pele de ovelha. Num enquadramento ecológico normal podem estar a contribuir para o fenómeno da obesidade, ao invés de o combater. O desacoplamento dos mecanismos fisiológicos de homeostase energética que dependem de estímulos orosensoriais parece levar a um descontrolo dos comportamentos alimentares e a uma ingestão calórica acrescida involuntária. Claro que poderíamos argumentar dizendo que forçando a restrição energética contra o apetite então o efeito seria largamente atenuado. Em duas dietas forçadamente isoenergéticas é provável que a diferença entre os açúcares e adoçantes artificiais não seja muito evidente. Além disso, a maioria dos estudos recorrem à glicose como comparativo, a qual não é o adoçante preferencial de utilização humana. O metabolismo da sacarose e frutose difere substancialmente, em particular ao nível da regulação do apetite.
Mas o Homem social não está num ambiente experimental altamente controlado. Os alimentos estão disponíveis e o apetite é um impulso fisiológico bastante forte e perfeitamente natural. Quando os hábitos alimentares são desadequados, é de esperar que esse apetite resulte no consumo de produtos menos próprios e num contributo para o fenómeno global da obesidade. Se nos focarmos na população em vez do indivíduo, facilmente compreendemos que pequenos pormenores fazem a diferença e têm um impacto cumulativo muito acentuado.
É por isto que não recomendo o consumo de produtos adoçados artificialmente. O organismo não se deixa enganar facilmente e o preço que cobra pode ser mais elevado do que se julga. Uns quilos extra e não a menos. Não existe prazer sem consequências.
Dhingra R, Sullivan L et al. (2007). Soft drink consumption and risk of developing cardiometabolic risk factors and the metabolic syndrome in middle-aged adults in the community. Circulation. 116:480-488.
Fowler S, Williams K et al. (2008). Fueling the obesity epidemic? Artificially sweetened beverage use and long-term weight gain. Obesity. 16:1894-1900.
Lutsey P, Steffen L, et al. (2008). Dietary intake and the development of the metabolic syndrome. Circulation. 117:754-761.
Blundell J e Hill A (1986). Paradoxical effects of an intense sweetener (aspartame) on appetite. The Lancet. pp 1092-1093.
Rogers P e Blundell J (1989). Separating the actions of sweeteness and calorias: effects of saccharin and carbohydrate on hunger and food intake in human subjects. Physiology & Behavior. 45:1093-1099.
Swithers S, Martin A et al. (2010). High-intensity sweeteners and energy balance. Physiology & Behavior. 100:55-62.
Ma J, Bellon M, et al. (2009). Effect of the artificial sweetener, sucralose, on gastric emptying and incretin hormone release in healthy subjects. Am J Physiol Gastrointest Liver Physiol. 296:G735-G739.
Steinert R, Frey F, et al. (2011). Effects of carbohydrate sugars and artificial sweeteners on appetite and the secretion of gastrointestinal satiety peptides. British Journal of Nutrition. Epub
Ma J, Chang J, et al. (2010). Effect of the artificial sweetener, sucralose, on small intestinal glucose absorption in healthy human subjects. British Journal of Nutrition. 104:803-806.
Gerspach A, Steinert R, et al. (2011). The role of the gut sweet taste receptor in regulating GLP-1, PYY and CCK release in humans. Am J Physiol Endocrinol Metab. Epub.
Davidson T e Swithers S (2004). A Pavlovian approach to the problem of obesity. International Jounal of Obesity. 28:933-935.
Liang Y, Steinbach G et al. (1987). The effect of artificial sweetener on insulin secretion. 1. The effect of Acessulfame K on insulin secretion in the rat. Horm metabol res. 19:233-238.
Liang Y, Maier V, et al. (1987). The effect of artificial sweetener on insulin secretion. 2. Stimulation of insulin release from isolated rat islets by acesulfame K. Horm metabol res. 19:285-289.
Swithers S, Baker C, et al. (2009). General and persistent effects of high-intensity sweeteners on body weight gain and caloric compensation in rats. Behavioral Neuroscience. 123:772-780.
Just T, Engel U, et al. (2008). Cephalic phase insulin release in healthy humans after taste stimulation? Appetite. 51:622-627.
ScienceDaily! (June 28, 2011) Waistlines in people, glucose levels in mice hunt at sweeteners’ effects: related studies point to the illusion of the artificial,

















9 comentários a “O lado mais amargo dos adoçantes artificiais”
Há algum tempo tenho buscado informações a cerca dos adoçantes artificiais.
Muito bom e oportuno a escolha desse tema Sergio!
Quanto aos mecanismos propostos,conhecia apenas a antiga hipótese relacionada a insulina, que não me convenceu.
Achei muito interessante e credível algumas das suposições citadas nesse artigo.
Recomendo a leitura completa desse material(http://weightology.net/weightologyweekly/?page_id=319 ) para complementar essa discussão e dismistificar um pouco a respeito da insulina.
Bom Trabalho!
Abraços
Já agora uma duvida eu tomo cafe com aduçante, troquei o açucar pelo aduçante. Mas disseram-me que era potencialmente cancerígeno!!! Há alguma verdade cientifica nisto ou é um mito? Devo trocar novamente o aduçante pelo açucar? Obrigado
Abraço
Existe um estudo em ratos que sugere isso mesmo no caso do aspartame. De qualquer forma os resultados não são convincentes e extrapoláveis pela o Homem com uma exposição normal. Nesse aspecto os adoçantes parecem seguros. Mas se quer a minha opinião, é preferível meio pacote de açúcar porque fica doce na mesma. Estamos a falar de 3-4g de açúcar.
Para quem bebe 5 café por dia, esta a falar de 3-4gr de açucar X 7 dias da semana = 21 a 28 gr X 4 semanas (1mês)= 84 a 112 gr por mês X 12 meses = 1008 a 1344gr por ano, só no café. O melhor será retirar o açúcar/adoçante. De salientar que as pessoas que optam por bebidas dietéticas em detrimento da água, não têm o melhor padrão alimentar, logo…
O aspartame contém o veneno metanol o que não é bom para ninguém.
Olá,
interessantíssimo artigo.
Permite-me colocar aqui uma dúvida.
Eu era bastante gordo consumia Iced Tea "normal" de uma marca, decidi mudar a minha dieta em alguns aspectos troquei para o produto light dessa mesma marca e comecei a fazer exercício.
Os resultados foram perda de 20kg, agora fiquei na dúvida… consumir este produto light onde diz ter menos 90% de açucares em relação ao seu produto original mas onde predominam os edulcorantes trará malefícios a longo prazo?
A ingestão deste produto é moderada obviamente.
Cumprimentos
Olá Bruno,
Se considerares o consumo de bebidas adoçadas uma espécie de "mimo" não vejo problema. O que não deves fazer é consumir grandes quantidades diariamente.
Cumprimentos
Olá, Sérgio.
Bom trabalho! Gostei muito!
Vou roubar…
Cumprimentos
Tens aqui um belo artigo! =) Um leitura muito interessante.
Não sou muito fã de usar adoçantes, embora tenha recorria eles como medida para emagrecer: apenas substitui o açúcar no café e no chá (substituindo no chá, permitiu ingerir mais liquidos), sempre aliado ao exercício e a uma dieta mais saudável.
Agora, já vario entre o açúcar e o adoçante no café, e no caso do chá, estou a fazer um esforço para beber simples.
Não sendo um produto natural, fico de pé atrás. Não é o único que o Homem desenvolveu para sustituir algo, mas que vira-se contra nós.